猫猫的运动方程:首次被物理学家破解了!
猫猫和人的交互行为,竟然被物理学家用方程式写出来了!
其成果还正经刊登在了《美国物理学杂志》上。
起因就是这位名叫Anxo Biasi的小哥,有一天观察起了自家猫猫,突发奇想:
能否将猫视为一个在人产生的势场中运动的质点,用物理方程来描述其行为?
结果通过仔细研究,他成功构建了一个能够定性重现多种猫与人交互行为特征的猫猫运动方程。
此前虽然物理学家已经研究过猫的一些特性(比如猫总能四脚着地的能力) ,还有下图这种用来描述猫越小越可爱的“黑洞猫”幽默比喻。
但这项研究是首次以方程的形式对猫的典型行为特征进行建模。
甚至猫猫在夜间疯狂跑酷也被再现了。
还有猫猫通常会对主人的呼唤爱答不理,它们会在最喜欢的人的腿上待更久……
趴在主人腿上VS趴在陌生人腿上,be like:
网友们觉得甚是有趣,帮助大家理解一些经典力学概念的例子+1。
真没想到爱猫人士会做到如此地步。
猫运动方程,如何建立?
这位小哥将猫猫建模为一个点粒子,首先结合日常观察以及各种讨论中定义了猫猫的7种常见场景。
(点粒子,物理学中一种粒子理想化描述,主要特点是不占用空间。举个例子,只要离得够远,各种形状的物体都会看似于一个点。)
明确指出的是,这是一项理论研究,没有进行动物实验,所有结论都建立在日常观察和物理建模的基础上。

此次关注的是猫与人互动的一个简单场景:一只猫和一个静止的人在一起。
这7种行为分别是:
P1:猫休息时通常会与人保持一定距离。
P2:当猫趴在人身上休息时(如趴在腿上、肚子上、背上),极小的刺激就可能使它们离开这个位置(如一只苍蝇、一个难以察觉的声音、邻近星系原子的β-衰变)。产生离开所需的扰动强度取决于猫对其所依靠的人的依恋程度。
P3:当猫被人抚摸时,它们会前后摆动。
P4:当猫被人呼唤时,它们很少回应。
P5:当猫决定接近呼唤它们的人时,它们往往会在途中分心,无法到达对方身边。

P6:晚上,猫咪会随意在屋子里跑酷。(这种情况被称为 “zoomies”)
P7:当猫喜欢被人抚摸时,它们会发出呼噜声(发出柔和振动的声音)。
当然,这些行为并不具有普遍性。有些猫也可能表现得不太明显。
定义完之后进行研究假设:猫的行为就像它们感知到人周围有一种力。
作为初步近似,他们将猫的动力学模型定义为在存在外部势能(由静止的人引起)和摩擦项的情况下,一个服从牛顿力学的点粒子。

其中x(t)表示猫在时间t相对于位于x=0处的人的位置,m>0是猫的质量,并且ϵ>0是摩擦系数,其值取决于每只猫。
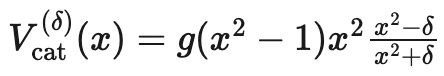
将微分方程转化为基于有理函数的形式。它提供了对平衡点的控制,这样管理平衡点的数量、相对位置和稳定性。

其中,g>0是耦合常数(从现在起将g简化设置为g=1,但这不会改变模型的定性图像);δ在[0,1]区间,反映了猫对人的依恋。
当δ=0 时,点x=0(人的位置)是不稳定的:猫对人没有依恋。
当δ>0时, 点x=0是稳定的。并且δ值越大,猫的依恋越强。当δ=1时,这表明猫对人有很强的依恋。

图1:(a)猫依附在人身上,(b)人对猫来说完全是陌生人。这两种情况猫都处于静止状态,处于三个平衡点。
此外,需要公式 (1) 中的摩擦项来减少能量。否则,猫在活动一段时间后就不会趋于静止状态,比如左右两侧∞状态。
为了阻止猫的运动,需要?≥0,而且摩擦力必须与速度的奇数次方成正比。
最后要注意的是,猫是在三维空间中移动的。然而,由于最重要的参数是猫和人之间的距离,我们假设猫沿着一条线移动,这进一步简化了分析。
还将跑酷和发出呼噜声模拟出来了
基于猫运动方程,小哥将猫的7种行为定性地表示了出来。
P1:猫咪休息时通常会与人保持一定距离。这种行为被中心外的全局最小值所捕捉。

如图1所示,猫可能以不同的速度从许多位置开始,但由于摩擦项,最终会到达最小值。
在大多数情况下,最终位置将是全局最小值,特别是对于猫和人之间的弱联系(δ较小时)。
当δ趋近于1时,x=0将成为额外的全局最小值。
P2,该陈述的第一部分由势能平衡点x=0(人的位置)重现,因为猫可能靠在人身上。
该陈述的第二部分是通过势能对δ的依赖性来捕捉的。也就是说当δ=0时, x=0是不稳定的,这表明在任意小的扰动下,猫都会偏离人。随着δ的增长,需要更强的刺激才能将猫从人身上分离。
P3, “当猫被人抚摸时,它们会以振荡运动来回移动。” 这种效应也在x=0附近的稳定区域重现(对于δ>0的情况)。
当猫平静地靠近人(动能低)时,它们会围绕人进行小幅度的振荡,并收敛到静态,这归功于方程中的摩擦项。
即使被陌生人抚摸(δ=0),猫也可能表现出这些稳定的振荡,但为此必须添加一个新变量(呼噜声)。
观察结果P4和P5可以用偏心最小值与人(x=0)之间的势垒来解释,如图1所示。
P4被呼唤的行为被建模为猫向人发出的冲动,这会导致动能增加,这种能量注入可能足以或不足以克服势垒。由于能量不足,猫会在一段时间后,再次收敛到静止位置。
如下图蓝色(较暗)和绿色(较亮)轨迹所显示。
当猫受到足够强的刺激(冲动)接近人时,也就来到了P5:“当猫决定接近呼唤它们的人时,它们经常在途中分心而无法接近人。” 这一观察结果也用上图绿色(较浅)轨迹所示。
这一现象中,猫的质量也会起作用(Doge), 猫获得的速度会随着质量的增加而减小——
体重较轻的猫(例如小猫)会表现出精力充沛的动作并对任何刺激做出反应,而体重较重的猫(例如老年猫或喂食过度的猫)则不会表现出同样的热情。这也与观察结果明显一致。

除此之外,作者还将这一方程进行了拓展:猫猫跑酷和呼噜声,这两种行为也被重现了。
猫猫跑酷。

其中σ为常数,f (t) 为外部随机强迫。在给定时间内产生快速移动的概率取决于摩擦力?和强迫σ的值。
这使我们能够根据每只猫的特殊性调整模型。例如,小猫不断表现出这些时期,对应于较低的摩擦力和较高的强迫力,而老年猫则很少表现出这种活动。

(a)显示猫可能突然从一个平衡点跑到另一个平衡点,在那里停留一段时间,然后再次随机地回到上一个平衡点。(b)为小猫(c)为老年猫
对于第7种行为,作者定义呼噜声是一种稳定机制。
一部分原因在于当猫被抚摸并开始发出呼噜声时,人们通常会有继续抚摸猫的冲动,从而通过这种方式增强了过程的稳定性。
以卡皮察摆作为类比,猫在发出呼噜声时会振动,振动可以作为不稳定平衡点的稳定机制,由此定义猫猫呼噜声运动模型:
振动可以加强猫与人之间的有效联系。

在原有猫方程基础上,引入了外部振动强迫来模拟这种效果。

其中G (x) 暂时为无约束函数,β和Ω分别为猫中振动的振幅和频率。此类驱动项模拟了在时间振荡场中移动或受到周期性强迫的粒子。

好了,此举从物理学的角度探索了猫与人之间的互动。
作者表示,这种互动模型旨在用于经典力学的入门课程,让学生更好地熟悉平衡点、势垒、摩擦或外力等概念。
灵感来自于自家的猫猫
此次研究成果来自理论物理学家Anxo Biasi和他家的猫猫Eme。
他主要研究非线性演化方程的动态行为,特别关注奇异点的形成、长期动态行为和湍流问题,这在流体动力学、玻色-爱因斯坦凝聚态和广义相对论等领域具有广泛应用。
Anxo此前通过巴黎高等师范学院物理系的La Caixa青年领袖计划,加入了加利西亚高能物理研究所(IGFAE)。
在IGFAE,他已经完成了博士论文,并将加入弦理论相关领域的研究团队,继续研究物理学和数学交叉领域的非线性演化方程。
建立猫运动方程,最初源自于他在愚人节的一个想法:想找一种对学生更有吸引力的有趣方式来解释物理。
他本人的猫猫Eme给了他灵感,通过仔细观察Eme与他互动时的行为,Anxo发现这种行为模式具有重复性和可预测性,于是开始自己尝试用物理模型来描述这些行为。

逐渐地,这一在某种程度上看似是开玩笑的事情,呈现出了学术形态。
为此在致谢中还特意感谢了Eme。
这项工作还可以延伸到各种场景,除了可以从物理学角度探索猫与人之间互动其它特征,还可以探讨猫与猫、狗与狗或狗与人之间的互动。
好想知道猫猫打架是什么方程哇~

参考链接:
[1]https://phys.org/news/2024-10-physicist-cat-reveal-equation-motion.html
[2]https://pubs.aip.org/aapt/ajp/article/92/11/827/3317285/On-cat-human-interaction-from-the-viewpoint-of
[3]https://www.phys.ens.psl.eu/en/article/anxo-farina-biasi
本站所有文章、数据、图片均来自互联网,一切版权均归源网站或源作者所有。
如果侵犯了你的权益请来信告知我们删除。邮箱:business@qudong.com











